Please wait a minute...
  2020, Vol. 1 Issue (1): 99-114    doi: 10.23919/ICN.2020.0003
    
Convergence of mobile broadband and broadcast services: A cognitive radio sensing and sharing perspective
Kagiso Rapetswa(),Ling Cheng*()
School of Electrical and Information Engineering, University of the Witwatersrand, Johannesburg 2050, South Africa.
Download: PDF (2595 KB)      HTML
Export: BibTeX | EndNote (RIS)      

Abstract  

With next generation networks driving the confluence of multi-media, broadband, and broadcast services, Cognitive Radio (CR) networks are positioned as a preferred paradigm to address spectrum capacity challenges. CRs address these issues through dynamic spectrum access. However, the main challenges faced by the CR pertain to achieving spectrum efficiency. As a result, spectrum efficiency improvement models based on spectrum sensing and sharing models have attracted a lot of research attention in recent years, including CR learning models, network densification architectures, and massive Multiple Input Multiple Output (MIMO), and beamforming techniques. This paper provides a survey of recent CR spectrum efficiency improvement models and techniques, developed to support ultra-reliable low latency communications that are resilient to surges in traffic and competition for spectrum. These models and techniques, broadly speaking, enable a wide range of functionality ranging from enhanced mobile broadband to large scale Internet of Things (IoT) type communications. In addition and given the strong correlation between the typical size of a spectrum block and the achievable data rate, the models studied in this paper are applicable in ultra-high frequency band. This study therefore provides a good review of CRs and direction for future investigations into newly identified 5G research areas, applicable in industry and in academia.



Key wordscognitive radio      distributed networks      spectrum sensing and sharing      next generation networks     
Received: 02 March 2020      Online: 01 August 2020
Corresponding Authors: Ling Cheng     E-mail: 0606575f@students.wits.ac.za;Ling.Cheng@wits.ac.za
About author: Kagiso Rapetswa received the BSc (mathematical sciences), the BSc Honours (computational and applied mathematics), and the MSc degrees (information and electrical engineering) from the University of Witwatersrand in 2008, 2009, and 2015, respectively. She is currently a PhD candidate at the University of the Witwatersrand. In 2013, she joined the consulting firm McKinsey & Co. as an associate consultant. In 2016, she joined the South African Department of Defence as the ICT director. In 2019, she joined the South African telecommunications company Vodacom, a subsidiary of Vodafone, as the head of Department—State Owned Enterprises: Public Sector. Her research interests include game theory, machine learning applications in wireless sensor networks, and cognitive radio networks.|Ling Cheng received the BEng degree from Huazhong University of Science and Technology in 1995, and the MSc and PhD degrees from University of Johannesburg in 2005 and 2011, respectively. In 2010, he joined University of the Witwatersrand where he was promoted to full professor in 2019. He serves as the associate editor of three journals. He has published more than 90 research papers in journals and conference proceedings. He has been a visiting professor at five universities and the principal advisor for over forty full research post-graduate students. He is a senior member of IEEE and the vice-chair of IEEE South African Information Theory Chapter.
Cite this article:

Kagiso Rapetswa,Ling Cheng. Convergence of mobile broadband and broadcast services: A cognitive radio sensing and sharing perspective. , 2020, 1: 99-114.

URL:

http://icn.tsinghuajournals.com/10.23919/ICN.2020.0003     OR     http://icn.tsinghuajournals.com/Y2020/V1/I1/99

6].
">
Fig. 1 Basic cognitive cycle[6].
6, 7, 8], where SINR represents the signal to interference noise ratio.
">
Fig. 2 Examples of CR goals that affect each other[6, 7, 8], where SINR represents the signal to interference noise ratio.
16].
">
Fig. 3 Performance probabilities of the energy detector under noise uncertainty[16].
16].
">
Fig. 4 Position of SNR threshold under noise uncertainty[16].
Fig. 5 Impact of sensing exertions on utility in the presence of noise uncertainty.
Fig. 6 Impact of TNR on the CR’s utility.
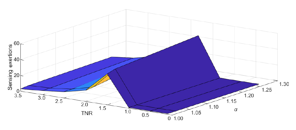
Fig. 7 Impact of TNR on the sensing exertions required.
39].
">
Fig. 8 System model for mMIMO-CR networks[39].
[1]   Kibria M. G., Nguyen K., Villardi G. P., Zhao O., Ishizu K., and Kojima F., Big data analytics, machine learning, and artificial intelligence in next-generation wireless networks, IEEE Access, vol. 6, pp. 32328-32338, 2018.
[2]   Miyim A. M., Ismail M., and Nordin R., Vertical handover solutions over LTE-advanced wireless networks: An overview, Wireless Personal Communications, vol. 77, no. 4, pp. 3051-3079, 2014.
[3]   Measuring the Information Society Report. Geneva, Switzerland: The International Telecommunication Union, 2017, pp. 109-114.
[4]   State of Broadband Report 2019. Geneva, Switzerland: International Telecommunication Union and United Nations Educational, Scientific and Cultural Organization, 2019.
[5]   Goldsmith A., Jafar S. A., Maric I., and Srinivasa S., Breaking spectrum gridlock with cognitive radios: An information theoretic perspective, Proceedings of the IEEE, vol. 97, no. 5, pp. 894-914, 2009.
[6]   Mitola J., Cognitive radio: Model-based competence for software radios, Master dissertation, Royal Institute of Technology, Stockholm, Sweden, 1999.
[7]   Haykin S., Cognitive radio: Brain-empowered wireless communications, IEEE J. Select. Areas Commun., vol. 23, no. 2, pp. 201-220, 2005.
[8]   Akyildiz I. F., Lee W. Y., Vuran M. C., and Mohanty S., A survey on spectrum management in cognitive radio networks, IEEE Communications Magazine, vol. 46, no. 4, pp. 40-48, 2008.
[9]   De Vito L., A review of wideband spectrum sensing methods for Cognitive Radios, in 2012 IEEE Int. Instrumentation and Measurement Technology Conf. Proceedings, Graz, Austria, 2012, pp. 2257-2262.
[10]   Arjoune Y. and Kaabouch N., A comprehensive survey on spectrum sensing in cognitive radio networks: Recent advances, new challenges, and future research directions, Sensors, vol. 19, no. 1, p. 126, 2019.
[11]   Yucek T. and Arslan H., A survey of spectrum sensing algorithms for cognitive radio applications, IEEE Communications Surveys & Tutorials, vol. 11, no. 1, pp. 116-130, 2009.
[12]   Lu L., Zhou X. W., Onunkwo U., and Li G. Y., Ten years of research in spectrum sensing and sharing in cognitive radio, EURASIP Journal on Wireless Communications and Networking, vol. 2012, no. 1, p. 28, 2012.
[13]   Mitchell T. M., The Discipline of Machine Learning. Pittsburgh, PA, USA: Carnegie Mellon University, 2006.
[14]   Kalamkar S. S. and Banerjee A., On the performance of generalized energy detector under noise uncertainty in cognitive radio, in 2013 National Conf. Communications (NCC), New Delhi, India, 2013, pp. 1-5.
[15]   Tandra R. and Sahai A., Fundamental limits on detection in low SNR under noise uncertainty, in Proc. 2005 Int. Conf. Wireless Networks, Communications and Mobile Computing, Maui, HI, USA, 2005, pp. 464-469.
[16]   Tandra R. and Sahai A., SNR walls for signal detection, IEEE Journal of Selected Topics in Signal Processing, vol. 2, no. 1, pp. 4-17, 2008.
[17]   Mariani A., Giorgetti A., and Chiani M., SNR wall for energy detection with noise power estimation, in Proc. IEEE Int. Conf. Communications, Kyoto, Japan, 2011, pp. 1-6.
[18]   Kalamkar S. S., Banerjee A., and Gupta A. K., SNR wall for generalized energy detection under noise uncertainty in cognitive radio, in 2013 19th Asia-Pacific Conf. Communications (APCC), Denpasar, Indonesia, 2013, pp. 375-380.
[19]   Martínez D. M. and Andrade á. G., On the reduction of the noise uncertainty effects in energy detection for spectrum sensing in cognitive radios, in 2014 IEEE 25th Annu. Int. Symp. Personal, Indoor, and Mobile Radio Communication (PIMRC), Washington, DC, USA, 2014, pp. 1975-1979.
[20]   Gohain P. B., Chaudhari S., and Koivunen V., Cooperative energy detection with heterogeneous sensors under noise uncertainty: SNR wall and use of evidence theory, IEEE Transactions on Cognitive Communications and Networking, vol. 4, no. 3, pp. 473-485, 2018.
[21]   Mokole E. L. and Sarkar T. K., Introduction to ultrawideband theory/technology/systems, in 2016 Int. Conf. Electromagnetics in Advanced Applications, Cairns, Australia, 2016, pp. 768-771.
[22]   He J., Q, Xu C., and Li L., Joint optimization of sensing time and decision thresholds for wideband cognitive OFDM radio networks, in IET 3rd Int. Conf. Wireless, Mobile and Multimedia Networks, Beijing, China, 2010, pp. 230-233.
[23]   Kim H. and Shin K. G., Efficient discovery of spectrum opportunities with MAC-layer sensing in cognitive radio networks, IEEE Transactions on Mobile Computing, vol. 7, no. 5, pp. 533-545, 2008.
[24]   Awoyemi B. S., Maharaj B. T. J., and Alfa A. S., Solving resource allocation problems in cognitive radio networks: A survey, EURASIP Journal on Wireless Communications and Networking, vol. 2016, no. 1, p. 176, 2016.
[25]   Tragos E. Z., Zeadally S., Fragkiadakis A. G., and Siris V. A., Spectrum assignment in cognitive radio networks: A comprehensive survey, IEEE Communications Surveys & Tutorials, vol. 15, no. 3, pp. 1108-1135, 2013.
[26]   Ahmed E., Gani A., Abolfazli S., Yao L. J., and Khan S. U., Channel assignment algorithms in cognitive radio networks: Taxonomy, open issues, and challenges, IEEE Communications Surveys & Tutorials, vol. 18, no. 1, pp. 795-823, 2016.
[27]   Hawa M., Jubair F., Al-Zubi R., and Saifan R., Sensing device management for history-based spectrum sharing in cognitive radio networks, Wireless Communications and Mobile Computing, vol. 2018, pp. 1-16, 2018.
[28]   Ye Z. H., Qi F., and Shen K. Q., Spectrum environment learning and prediction in cognitive radio, in 2011 IEEE Int. Conf. Signal Processing, Communications and Computing, Xi’an, China, 2011, pp. 1-6.
[29]   Shalev-Shwartz S. and Ben-David S., Understanding Machine Learning: From Theory to Algorithms. Cambridge University Press, 2014.
[30]   Bkassiny M., Li Y., and Jayaweera S. K., A survey on machine-learning techniques in cognitive radios, IEEE Communications Surveys & Tutorials, vol. 15, no. 3, pp. 1136-1159, 2013.
[31]   Abbas N., Nasser Y., and El Ahmad K., Recent advances on artificial intelligence and learning techniques in cognitive radio networks, EURASIP Journal on Wireless Communications and Networking, vol. 2015, no.1, p. 174, 2015.
[32]   Morozs N., Clarke T., and Grace D., Heuristically accelerated reinforcement learning for dynamic secondary spectrum sharing, IEEE Access, vol. 3, pp. 2771-2783, 2015.
[33]   IMT-2020 (5G) Promotion Group, 5G vision and requirements, , 2015.
[34]   Idachaba F. E., 5G networks: Open network architecture and densification strategies for beyond 1000x network capacity increase, in 2016 Future Technologies Conf., San Francisco, CA, USA, 2016, pp. 1265-1269.
[35]   Liu J. Y., Sheng M., Liu L., and Li J. D., Network densification in 5G: From the short-range communications perspective, IEEE Communications Magazine, vol. 55, no. 12, pp. 96-102, 2017.
[36]   Nguyen V. M. and Kountouris M., Performance limits of network densification, IEEE Journal on Selected Areas in Communications, vol. 35, no. 6, pp. 1294-1308, 2017.
[37]   Agrahari A., Varshney P., and Jagannatham A. K., Precoding and downlink beamforming in multiuser MIMO-OFDM cognitive radio systems with spatial interference constraints, IEEE Transactions on Vehicular Technology, vol. 67, no. 3, pp. 2289-2300, 2018.
[38]   Mohammadnia F., Vitale C., Fiore M., Mancuso V., and Marsan M. A., Mobile small cells for adaptive RAN densification: Preliminary throughput results, in 2019 IEEE Wireless Communications and Networking Conf., Marrakesh, Morocco, 2019, pp. 1-7.
[39]   Ghosh S., De D., and Deb P., Energy and spectrum optimization for 5G massive MIMO cognitive femtocell based mobile network using auction game theory, Wireless Personal Communications, vol. 106, no. 2, pp. 555-576, 2019.
[40]   Mokhtari Z., Sabbaghian M., and Dinis R., A survey on massive MIMO systems in presence of channel and hardware impairments, Sensors, vol. 19, no. 1, p. 164, 2019.
[41]   Hao W. M., Muta O., Gacanin H., and Furukawa H., Power allocation for massive MIMO cognitive radio networks with pilot sharing under SINR requirements of primary users, IEEE Transactions on Vehicular Technology, vol. 67, no. 2, pp. 1174-1186, 2018.
[42]   Scutari G. and Pang J. S., Joint sensing and power allocation in nonconvex cognitive radio games: Nash equilibria and distributed algorithms, IEEE Transactions on Information Theory, vol. 59, no. 7, pp. 4626-4661, 2013.
[43]   Tsai J. S. and Hsieh H. Y., On using multi-state spectrum sensing for joint detection and transmission in opportunistic spectrum sharing, in 2011 IEEE Global Telecommunications Conf. - GLOBECOM 2011, Houston, TX, USA, 2011, pp. 1-6.
[44]   Sardellitti S. and Barbarossa S., Joint optimization of collaborative sensing and radio resource allocation in small-cell networks, IEEE Transactions on Signal Processing, vol. 61, no. 18, pp. 4506-4520, 2013.
[45]   Lopez-Ramos L. M., Marques A. G., and Ramos J., Jointly optimal sensing and resource allocation for multiuser interweave cognitive radios, IEEE Transactions on Wireless Communications, vol. 13, no. 11, pp. 5954-5967, 2014.
[46]   Janatian N., Sun S. M., and Modarres-Hashemi M., Joint optimal spectrum sensing and power allocation in CDMA-based cognitive radio networks, IEEE Transactions on Vehicular Technology, vol. 64, no. 9, pp. 3990-3998, 2015.
[47]   Wang X., Ekin S., and Serpedin E., Joint spectrum sensing and resource allocation in multi-band-multi-user cognitive radio networks, IEEE Transactions on Communications, vol. 66, no. 8, pp. 3281-3293, 2018.
[48]   La Q. D., Chew Y. H., Chin W. H., and Soong B. H., A game theoretic distributed dynamic channel allocation scheme with transmission option, in MILCOM 2008- 2008 IEEE Military Communications Conf., San Diego, CA, USA, 2008, pp. 1-7.
[49]   Monderer D. and Shapley L. S., Potential games, Games and Economic Behavior, vol. 14, no. 1, pp. 124-143, 1996.
[50]   Chang C. W. and Yang Y. L., Game theoretic channel allocation for the delay-sensitive cognitive radio networks, in Proc. 2012 Asia Pacific Signal and Information Processing Association Annu. Summit and Conf., Hollywood, CA, USA, 2012, pp. 1-7.
[51]   Wang B. B., Wu Y. L., and Liu K. J. R., Game theory for cognitive radio networks: An overview, Computer Networks, vol. 54, no. 14, pp. 2537-2561, 2010
[52]   Saad W., Han Z., Zheng R., Hjorungnes A., Basar T., and Poor H. V., Coalitional games in partition form for joint spectrum sensing and access in cognitive radio networks, IEEE Journal of Selected Topics in Signal Processing, vol. 6, no. 2, pp. 195-209, 2012.
[53]   Pang J. S. and Scutari G., Nonconvex games with side constraints, SIAM Journal on Optimization, vol. 21 no. 4, pp. 1491-1522, 2011.
[54]   Scutari G. and Pang J. S., Joint sensing and power allocation in nonconvex cognitive radio games: Quasi-Nash Equilibria, in IEEE 17th Int. Conf. Digital Signal Processing, Corfu, Greece, 2011, pp. 1-8.