|
|
|
| Intelligent cognitive spectrum collaboration: Convergence of spectrum sensing, spectrum access, and coding technology |
Peixiang Cai*( ),Yu Zhang( ) |
∙ Beijing National Research Center for Information Science and Technology, (BNRist), Beijing 100084, China Key Laboratory of Digital TV System of Guangdong Province and Shenzhen City, Research Institute of Tsinghua University in Shenzhen, Shenzhen 518057, China Department of Electronic Engineering, Tsinghua University, Beijing 100084, China. |
|
|
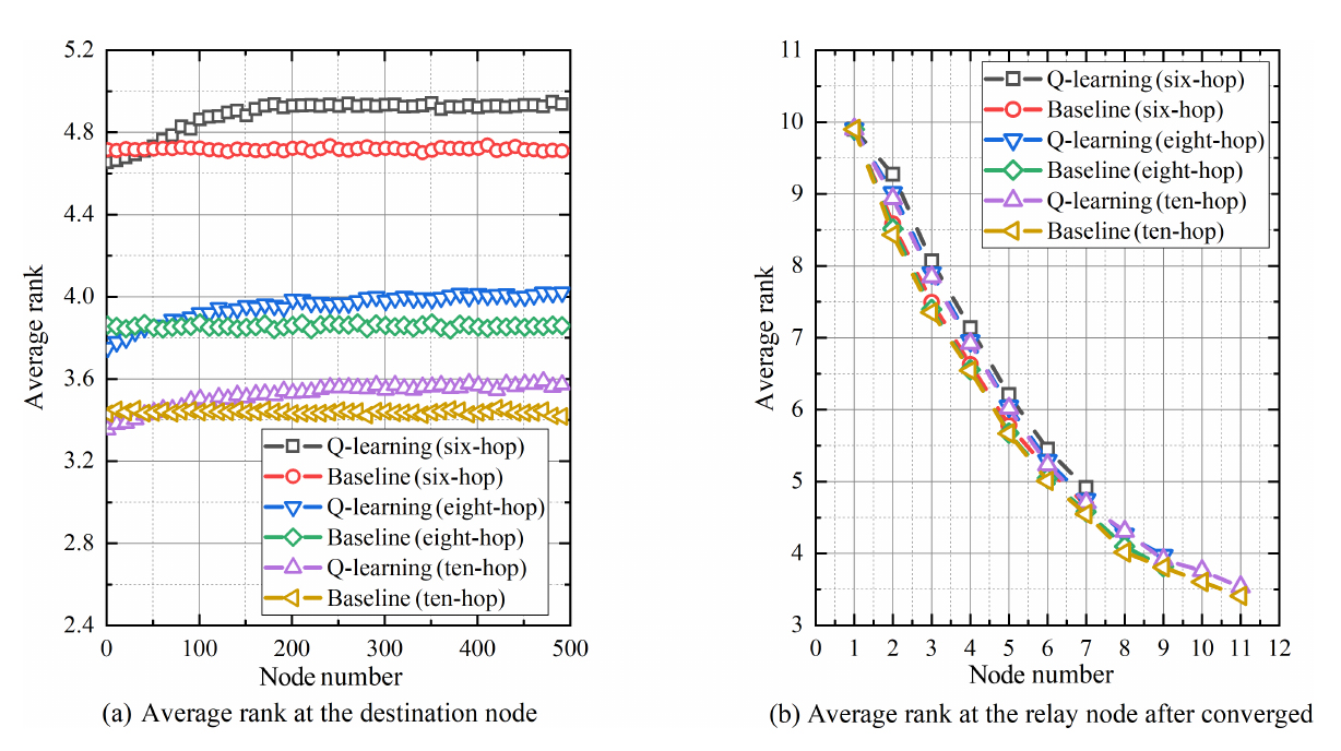
Abstract For a future scenario where everything is connected, cognitive technology can be used for spectrum sensing and access, and emerging coding technologies can be used to address the erasure of packets caused by dynamic spectrum access and realize cognitive spectrum collaboration among users in mass connection scenarios. Machine learning technologies are being increasingly used in the implementation of smart networks. In this paper, after an overview of several key technologies in the cognitive spectrum collaboration, a joint optimization algorithm of dynamic spectrum access and coding is proposed and implemented using reinforcement learning, and the effectiveness of the algorithm is verified by simulations, thus providing a feasible research direction for the realization of cognitive spectrum collaboration.
|
|
Received: 26 February 2020
Online: 17 June 2020
|
| Fund: National Natural Science Foundation of China(61790553);Shenzhen Science and Technology Plan Projects(JCYJ20180306170614484);Shanghai Municipal Science and Technology Major Project(2018SHZDZX04) |
|
Corresponding Authors:
Peixiang Cai
E-mail: cpx16@mails.tsinghua.edu.cn;zhang-yu@tsinghua.edu.cn
|
| About author: Peixiang Cai received the BE degree from Tsinghua University, China in 2016, and is currently pursuing the PhD degree at Tsinghua University, China. His research interests include communication systems, intelligent transportation systems, information theory, and signal processing.|Yu Zhang received the BE and MS degrees in electronics engineering from Tsinghua University, Beijing, China in 1999 and 2002, respectively, and the PhD degree in electrical and computer engineering from Oregon State University, Corvallis, OR, USA in 2006. From 2007, he was an assistant professor at the Research Institute of Information Technology, Tsinghua University, for eight months. He is currently an associate professor at the Department of Electronic Engineering, Tsinghua University. His current research interests include the performance analysis and detection schemes for Multiple-Input Multiple-Output-Orthogonal Frequency Division Multiplexing (MIMO-OFDM) systems over doubly-selective fading channels, transmitter and receiver diversity techniques, and channel estimation and equalization algorithm. |
|
|
| [1] |
Evans D., The internet of things: How the next evolution of the internet is changing everything, , 2011.
|
| [2] |
Al-Fuqaha A., Guizani M., Mohammadi M., Aledhari M., and Ayyash M., Internet of things: A survey on enabling technologies, protocols, and applications, IEEE Commun. Surv. Tutorials, vol. 17, no. 4, pp. 2347-2376, 2015.
|
| [3] |
Li S. C., Xu L. D., and Zhao S. S., The internet of things: A survey, Inf. Syst. Front., vol. 17, no. 2, pp. 243-259, 2015.
|
| [4] |
Atzori L., Iera A., and Morabito G., The internet of things: A survey, Comput. Networks, vol. 54, no. 15, pp. 2787-2805, 2010.
|
| [5] |
Li S. C., Xu L. D., and Zhao S. S., 5G internet of things: A survey, J. Ind. Inf. Integr., vol. 10, pp. 1-9, 2018.
|
| [6] |
Palattella M. R., Dohler M., Grieco A., Rizzo G., Torsner J., Engel T., and Ladid L., Internet of things in the 5G era: Enablers, architecture, and business models, IEEE J. Sel. Areas Commun., vol. 34, no. 3, pp. 510-527, 2016.
|
| [7] |
Li L., Hu X. G., Chen K., and He K. T., The applications of WiFi-based wireless sensor network in internet of things and smart grid, in Proc. 6th IEEE Conf. Industrial Electronics and Applications, Beijing, China, 2011, pp. 789-793.
|
| [8] |
Gerla M., Lee E. K., Pau G., and Lee U., Internet of vehicles: From intelligent grid to autonomous cars and vehicular clouds, in Proc. 2014 IEEE World Forum on Internet of Things (WF-IoT), Seoul, South Korea, 2014, pp. 241-246.
|
| [9] |
Kolodzy P. and Avoidance I., Spectrum policy task force, Tech. Rep. 02–135, Federal Communications Commission, Washington, DC, USA, 2002.
|
| [10] |
Blaschke V., Jaekel H., Renk T., Kloeck C., and Jondral F. K., Occupation measurements supporting dynamic spectrum allocation for cognitive radio design, in Proc. 2nd Int. Conf. Cognitive Radio Oriented Wireless Networks and Communications, Orlando, FL, USA, 2007, pp. 50-57.
|
| [11] |
Mitola J. and Maguire G. Q., Cognitive radio: Making software radios more personal, IEEE Personal Commun., vol. 6, no. 4, pp. 13-18, 1999.
|
| [12] |
Haykin S., Cognitive radio: Brain-empowered wireless communications, IEEE J. Sel. Areas Commun., vol. 23, no. 2, pp. 201-220, 2005.
|
| [13] |
Wang B. B., Wu Y. L., and Liu K. J. R., Game theory for cognitive radio networks: An overview, Comput. Networks, vol. 54, no. 14, pp. 2537-2561, 2010.
|
| [14] |
Stojadinovic D., de Figueiredo F. A. P., Maddala P., Seskar I., and Trappe W., SC2 CIL: Evaluating the spectrum voxel announcement benefits, in Proc. 2019 IEEE Int. Symp. Dynamic Spectrum Access Networks (DySPAN), Newark, NJ, USA, 2019, pp. 1-6.
|
| [15] |
de Figueiredo F. A. P., Stojadinovic D., Maddala P., Mennes R., Jaband?i? I., Jiao X. J., and Moerman I., Scatter Phy: A physical layer for the DARPA spectrum collaboration challenge, in Proc. 2019 IEEE Int. Symp. Dynamic Spectrum Access Networks (DySPAN), Newark, NJ, USA, 2019, pp. 1-6.
|
| [16] |
Sun H. J., Nallanathan A., Wang C. X., and Chen Y. F., Wideband spectrum sensing for cognitive radio networks: A survey, IEEE Wirel. Commun., vol. 20, no. 2, pp. 74-81, 2013.
|
| [17] |
Salt J. E. and Nguyen H. H., Performance prediction for energy detection of unknown signals, IEEE Trans. Veh. Technol. vol. 57, no. 6, pp. 3900-3904, 2008.
|
| [18] |
López-Benítez M. and Casadevall F., Improved energy detection spectrum sensing for cognitive radio, IET Commun., vol. 6, no. 8, pp. 785-796, 2012.
|
| [19] |
Chabbra K., Mahendru G., and Banerjee P., Effect of dynamic threshold & noise uncertainty in energy detection spectrum sensing technique for cognitive radio systems, in Proc. 2014 Int. Conf. Signal Processing and Integrated Networks (SPIN), Noida, India, 2014, pp. 377-361.
|
| [20] |
Cabric D., Tkachenko A., and Brodersen R. W., Experimental study of spectrum sensing based on energy detection and network cooperation, in Proc. 1st Int. Workshop on Technology and Policy for Accessing Spectrum (TAPAS’06), New York, NY, USA, 2006, p. 12-es.
|
| [21] |
Kapoor S., Rao S. V. R. K., and Singh G., Opportunistic spectrum sensing by employing matched filter in cognitive radio network, in Proc. 2011 Int. Conf. Communication Systems and Network Technologies, Katra, India, 2011, pp. 580-583.
|
| [22] |
Cabric D., Mishra S. M., and Brodersen R. W., Implementation issues in spectrum sensing for cognitive radios, in Proc. Conf. Record of the 38th Asilomar Conf. on Signals, Systems and Computers, Pacific Grove, CA, USA, 2004, pp. 772-776.
|
| [23] |
Salahdine F., El Ghazi H., Kaabouch N N., and Fihri W. F., Matched filter detection with dynamic threshold for cognitive radio networks, in Proc. 2015 Int. Conf. Wireless Networks and Mobile Communications (WINCOM), Marrakech, Morocco, 2015, pp. 1-6.
|
| [24] |
Chen H. S., Gao W., and Daut D. G., Spectrum sensing using cyclostationary properties and application to IEEE 802.22 WRAN, in Proc. 2007 IEEE Global Telecommunications Conf., Washington, DC, USA, 2007, pp. 3133-3138.
|
| [25] |
Lunden J., Koivunen V., Huttunen A., and Poor H. V., Collaborative cyclostationary spectrum sensing for cognitive radio systems, IEEE Trans. Signal Process., vol. 57, no. 11, pp. 4182-4195, 2009.
|
| [26] |
Ye Z., Grosspietsch J., and Memik G., Spectrum sensing using cyclostationary spectrum density for cognitive radios, in Proc. 2007 IEEE Workshop on Signal Processing Systems, Shanghai, China, 2007, pp. 1-6.
|
| [27] |
Bhargavi D. and Murthy C. R., Performance comparison of energy, matched-filter and cyclostationarity-based spectrum sensing, in Proc. IEEE 11th Int. Workshop on Signal Processing Advances in Wireless Communications (SPAWC), Marrakech, Morocco, 2010, pp. 1-5.
|
| [28] |
Digham F. F., Alouini M. S., and Simon M. K., On the energy detection of unknown signals over fading channels, IEEE Trans. Commun., vol. 55, no. 1, pp. 21-24, 2007.
|
| [29] |
Rajendran S., Meert W., Giustiniano D., Lenders V., and Pollin S., Deep learning models for wireless signal classification with distributed low-cost spectrum sensors, IEEE Trans. Cogn. Commun. Netw., vol. 4, no. 3, pp. 433-445, 2018.
|
| [30] |
Cheng Q. Q., Shi Z. G., Nguyen D. N., and Dutkiewicz E., Deep learning network based spectrum sensing methods for OFDM systems, arXiv preprint arXiv: 1807.09414, 2019.
|
| [31] |
Cui Y. B., Jing X. J., Sun S. L., Wang X. H., Cheng D. M., and Huang H., Deep learning based primary user classification in cognitive radios, in Proc. 15th Int. Symp. Communications and Information Technologies (ISCIT), Nara, Japan, 2015, pp. 165-168.
|
| [32] |
Ganesan G. and Li Y., Cooperative spectrum sensing in cognitive radio networks, in Proc. 1st IEEE Int. Symp. New Frontiers in Dynamic Spectrum Access Networks, Baltimore, MD, USA, 2005, pp. 137-143.
|
| [33] |
Chen H. F., Zhou M., Xie L., Wang K., and Li J., Joint spectrum sensing and resource allocation scheme in cognitive radio networks with spectrum sensing data falsification attack, IEEE Trans. Veh. Technol., vol. 65, no. 11, pp. 9181-9191, 2016.
|
| [34] |
Lo B. F. and Akyildiz I. F., Reinforcement learning for cooperative sensing gain in cognitive radio ad hoc networks, Wirel. Netw., vol. 19, no. 6, pp. 1237-1250, 2013.
|
| [35] |
Lundén J., Kulkarni S. R., Koivunen V., and Poor H. V., Multiagent reinforcement learning based spectrum sensing policies for cognitive radio networks, IEEE J. Sel. Top. Signal Process., vol. 7, no. 5, pp. 858-868, 2013.
|
| [36] |
Zhang Y., Cai P. X., Pan C. Y., and Zhang S. B., Multi-agent deep reinforcement learning-based cooperative spectrum sensing with upper confidence bound exploration, IEEE Access, vol. 7, pp. 118 898-118 906, 2019.
|
| [37] |
Lee S. H., Oh D. C., and Lee Y. H., Hard decision combining-based cooperative spectrum sensing in cognitive radio systems, in Proc. 2009 Int. Conf. Wireless Communications and Mobile Computing: Connecting the World Wirelessly (IWCMC’09), Leipzig, Germany, 2009, pp. 906-910.
|
| [38] |
Ma J., Zhao G. D., and Li Y., Soft combination and detection for cooperative spectrum sensing in cognitive radio networks, IEEE Trans. Wirel. Commun., vol. 7, no. 11, pp. 4502-4507, 2008.
|
| [39] |
Mustonen M., Matinmikko M., and Mammela A., Cooperative spectrum sensing using quantized soft decision combining, in Proc. 4th Int. Conf. Cognitive Radio Oriented Wireless Networks and Communications, Hannover, Germany, 2009, pp. 1-5.
|
| [40] |
Li M. and Diao M., Cooperative spectrum sensing algorithm based on majority decision fusion, in Proc. 2nd Int. Conf. Instrumentation, Measurement, Computer, Communication and Control, Harbin, China, 2012, pp. 952-956.
|
| [41] |
Mikaeil A. M., Guo B., and Wang Z. J., Machine learning to data fusion approach for cooperative spectrum sensing, in Proc. 2014 Int. Conf. Cyber-Enabled Distributed Computing and Knowledge Discovery, Shanghai, China, 2014, pp. 429-434.
|
| [42] |
Lu Y. Q., Zhu P., Wang D. L., and Fattouche M., Machine learning techniques with probability vector for cooperative spectrum sensing in cognitive radio networks, in Proc. 2016 IEEE Wireless Communications and Networking Conf., Doha, Qatar, 2016, pp. 1-6.
|
| [43] |
Thilina K. M., Choi K. W., Saquib N., and Hossain E., Machine learning techniques for cooperative spectrum sensing in cognitive radio networks, IEEE J. Sel. Areas Commun., vol. 31, no. 11, pp. 2209-2221, 2013.
|
| [44] |
Akyildiz I. F., Lee W. Y., Vuran M. C., and Mohanty S., NeXt generation/dynamic spectrum access/cognitive radio wireless networks: A survey, Comput. Networks, vol. 50, no. 13, pp. 2127-2159, 2006.
|
| [45] |
Zhao Q. and Sadler B. M., A survey of dynamic spectrum access, IEEE Signal Process. Mag., vol. 24, no. 3, pp. 79-89, 2007.
|
| [46] |
Ivanov M., Br?nnstr?m F., Amat A. G., and Popovski P., Broadcast coded slotted ALOHA: A finite frame length analysis, IEEE Trans. Commun., vol. 65, no. 2, pp. 651-662, 2017.
|
| [47] |
Uddin F. and Mahmud S., Carrier sensing-based medium access control protocol for WLANs exploiting successive interference cancellation, IEEE Trans. Wirel. Commun., vol. 16, no. 6, pp. 4120-4135, 2017.
|
| [48] |
Cha J. R., Go K. C., Kim J. H., and Park W. C., TDMA-based multi-hop resource reservation protocol for real-time applications in tactical mobile adhoc network, in Proc. 2010 Military Communications Conf., San Jose, CA, USA, 2010, pp. 1936-1941.
|
| [49] |
Pun N. C., TDMA channel access scheduling with neighbor indirect acknowledgment algorithm (NbIA) for ad-hoc networks, US Patent US7768992, August 3, 2010.
|
| [50] |
Karthigeyan I., Manoj B. S., and Murthy C. S. R., A distributed laxity-based priority scheduling scheme for time-sensitive traffic in mobile ad hoc networks, Ad Hoc Netw., vol. 3, no. 1, pp. 27-50, 2005.
|
| [51] |
Shrestha A. P., Won J., Yoo S. J., Seo M., and Cho H. W., Genetic algorithm based sensing and channel allocation in cognitive ad-hoc networks, in Proc. 2016 Int. Conf. Information and Communication Technology Convergence, Jeju, South Korea, 2016, pp. 109-111.
|
| [52] |
Arivudainambi D. and Rekha D., Broadcast scheduling problem in TDMA ad hoc networks using immune genetic algorithm, Int. J. Comput. Commun. Control, vol. 8, no. 1, pp. 18-29, 2013.
|
| [53] |
Paschos A. E., Kapinas V. M., Ntouni G. D., Hadjileontiadis L. J., and Karagiannidis G. K., Dynamic spectrum sensing through accelerated particle swarm optimization, in Proc. 25th IEEE Telecommunication Forum, Belgrade, Serbia, 2017, pp. 1-4.
|
| [54] |
Atakan B. and Akan O. B., Biological foraging-inspired communication in intermittently connected mobile cognitive radio ad hoc networks, IEEE Trans. Veh. Technol., vol. 61, no. 6, pp. 2651-2658, 2012.
|
| [55] |
Yu L., Liu C., and Hu W. Y., Spectrum allocation algorithm in cognitive ad-hoc networks with high energy efficiency, in Proc. 2010 Int. Conf. Green Circuits and Systems, Shanghai, China, 2010, pp. 349-354.
|
| [56] |
Lunden J., Koivunen V., Kulkarni S. R., and Poor H. V., Reinforcement learning based distributed multiagent sensing policy for cognitive radio networks, presented at 2011 IEEE International Symposium on Dynamic Spectrum Access Networks (DYSPAN), Aachen, Germany, 2011, pp. 642-646.
|
| [57] |
Lv C. Y., Wang J. Y., and Yu F., Dynamic spectrum allocation using q-learning in cognitive radio systems, Appl. Mech. Mater., vols. 427–429, pp. 1579-1584, 2013.
|
| [58] |
Teng Y. L., Yu F. R., Han K., Wei Y. F., and Zhang Y., Reinforcement-learning-based double auction design for dynamic spectrum access in cognitive radio networks, Wirel. Pers. Commun., vol. 69, no. 2, pp. 771-791, 2013.
|
| [59] |
Li F., Lam K. Y., Sheng Z. G., Zhang X. G., Zhao K. L., and Wang L., Q-learning-based dynamic spectrum access in cognitive industrial internet of things, Mobile Netw. Appl., vol. 23, no. 6, pp. 1636-1644, 2018.
|
| [60] |
Wang S. G., Liu H. P., Gomes P. H., and Krishnamachari B., Deep reinforcement learning for dynamic multichannel access in wireless networks, IEEE Trans. Cogn. Commun. Netw., vol. 4, no. 2, pp. 257-265, 2018.
|
| [61] |
Li X. J., Fang J., Cheng W., Duan H. P., Chen Z., and Li H. B., Intelligent power control for spectrum sharing in cognitive radios: A deep reinforcement learning approach, IEEE Access, vol. 6, pp. 25 463-25 473, 2018.
|
| [62] |
Ahlswede R., Cai N., Li S. Y. R., and Yeung R. W., Network information flow, IEEE Trans. Inf. Theory, vol. 46, no. 4, pp. 1204-1216, 2000.
|
| [63] |
Liew S. C., Zhang S. L., and Lu L., Physical-layer network coding: Tutorial, survey, and beyond, Phys. Commun., vol. 6, pp. 4-42, 2013.
|
| [64] |
Bassoli R., Marques H., Rodriguez J., Shum K. W., and Tafazolli R., Network coding theory: A survey, IEEE Commun. Surv. Tutorials, vol. 15, no. 4, pp. 1950-1978, 2013.
|
| [65] |
Iqbal M. A., Dai B., Huang B. X., Hassan A., and Yu S., Survey of network coding-aware routing protocols in wireless networks, J. Netw. Comput. Appl., vol. 34, no. 6, pp. 1956-1970, 2011.
|
| [66] |
Farooqi M. Z., Tabassum S. M., Rehmani M. H., and Saleem Y., A survey on network coding, J. Netw. Comput. Appl., vol. 46, no. 3, pp. 166-181, 2014.
|
| [67] |
Li S. Y. R., Yeung R. W., and Cai N., Linear network coding, IEEE Trans. Inf. Theory, vol. 49, no. 2, pp. 371-381, 2003.
|
| [68] |
Koetter R. and Medard M., An algebraic approach to network coding, IEEE/ACM Trans. Netw., vol. 11, no. 5, pp. 782-795, 2003.
|
| [69] |
Ho T., Koetter R., Medard M., Karger D. R., and Effros M., The benefits of coding over routing in a randomized setting, in Proc. 2003 IEEE Int. Symp. Information Theory, Yokohama, Japan, 2003, p. 442.
|
| [70] |
Fong S. L. and Yeung R. W., Variable-rate linear network coding, IEEE Trans. Inf. Theory Workshop, vol. 56, no. 6, pp. 2618-2625, 2010.
|
| [71] |
Maheshwar S., Li Z. P., and Li B. C., Bounding the coding advantage of combination network coding in undirected networks, IEEE Trans. Inf. Theory, vol. 58, no. 2, pp. 570-584, 2012.
|
| [72] |
Erez E. and Feder M., Efficient network codes for cyclic networks, in Proc. 2005 Int. Symp. Information Theory, Adelaide, Australia, 2005, pp. 1982-1986.
|
| [73] |
Cai N. and Yeung R. W., Network coding and error correction, in Proc. 2002 IEEE Information Theory Workshop, Bangalore, India, 2002, pp. 119-122.
|
| [74] |
Byers J. W., Luby M., Mitzenmacher M., and Rege A., A digital fountain approach to reliable distribution of bulk data, ACM SIGCOMM Comput. Commun. Rev., vol. 28, no. 4, pp. 56-67, 1998.
|
| [75] |
MacKay D. J. C., Fountain codes, IEE Proc. Commun., vol. 152, no. 6, pp. 1062-1068, 2005.
|
| [76] |
Luby M., LT codes, in Proc. 43rd Symp. Foundations of Computer Science, Vancouver, Canada, 2002, pp. 271-280.
|
| [77] |
Chen C. M., Chen Y. P., Shen T. C., and Zao J. K., A practical optimization framework for the degree distribution in LT Codes, IEICE Trans. Commun., vol. E96.B, no. 11, pp. 2807-2815, 2013.
|
| [78] |
Chen C. M., Chen Y. P., Shen T. C. and Zao J. K., On the optimization of degree distributions in LT code with covariance matrix adaptation evolution strategy, in Proc. 2010 IEEE Congress on Evolutionary Computation, Barcelona, Spain, 2010, pp. 1-8.
|
| [79] |
Puducheri S., Kliewer J., and Fuja T. E., The design and performance of distributed LT codes, IEEE Trans. Inf. Theory, vol. 53, no. 10, pp. 3740-3754, 2007.
|
| [80] |
Nachmani E., Be’ery Y., and Burshtein D., Learning to decode linear codes using deep learning, in Proc. 54th Ann. Allerton Conf. Communication, Control, and Computing (Allerton), Monticello, IL, USA, 2016, pp. 341-346.
|
| [81] |
Cui Y., Wang L., Wang X., Wang H. Y., and Wang Y. N., FMTCP: A fountain code-based multipath transmission control protocol, IEEE/ACM Trans. Netw., vol. 23, no. 2, pp. 465-478, 2015.
|
| [82] |
Erlich Y. and Zielinski D., DNA fountain enables a robust and efficient storage architecture, Science, vol. 355, no. 6328, pp. 950-954, 2017.
|
| [83] |
Yi B. S., Xiang M., Huang T. Q., Huang H. J., Qiu K., and Li W. Z., Data gathering with distributed rateless coding based on enhanced online fountain codes over wireless sensor networks, AEU - Int.J. Electron. Commun., vol. 92, pp. 86-92, 2018.
|
| [84] |
Vukobratovic D., Stankovic V., Sejdinovic D., Stankovic L., and Xiong Z. X., Scalable video multicast using expanding window fountain codes, IEEE Trans. Multimed., vol. 11, no. 6, pp. 1094-1104, 2009.
|
| [85] |
Cai P. X., Zhang Y., Pan C. Y., and Song J., Online fountain codes with unequal recovery time, IEEE Commun. Lett., vol. 23, no. 7, pp. 1136-1140, 2019.
|
| [86] |
Kamra A., Misra V., Feldman J., and Rubenstein D., Growth codes: Maximizing sensor network data persistence, in Proc. 2006 Conf. Applications, Technologies, Architectures, and Protocols for Computer Communications, Pisa, Italy, 2006, pp. 255-266.
|
| [87] |
Cassuto Y. and Shokrollahi A., Online fountain codes with low overhead, IEEE Trans. Inf. Theory, vol. 61, no. 6, pp. 3137-3149, 2015.
|
| [88] |
Katti S., Rahul H., Hu W. J., Katabi D., Medard M., and Crowcroft J., XORs in the air: Practical wireless network coding, IEEE/ACM Trans. Netw., vol. 16, no. 3, pp. 497-510, 2008.
|
| [89] |
Nguyen H. D. T., Tran L. N., and Hong E. K., On transmission efficiency for wireless broadcast using network coding and fountain codes, IEEE Commun. Lett., vol. 15, no. 5, pp. 569-571, 2011.
|
| [90] |
Yang S. H. and Yeung R. W., Batched sparse codes, IEEE Trans. Inf. Theory, vol. 60, no. 9, pp. 5322-5346, 2014.
|
| [91] |
Yang S. H., Ng T. C., and Yeung R. W., Finite-length analysis of BATS codes, IEEE Trans. Inf. Theory, vol. 64, no. 1, pp. 322-348, 2018.
|
| [92] |
Zhao H. K., Yang S. H., and Feng G. N., Fast degree-distribution optimization for BATS codes, Sci. China Inf. Sci., vol. 60, no. 10, p. 102 301, 2017.
|
| [93] |
Tang B., Yang S. H., Ye B. L., Guo S., and Lu S. L., Near-optimal one-sided scheduling for coded segmented network coding, IEEE Trans. Comput., vol. 65, no. 3, pp. 929-939, 2016.
|
| [94] |
Yin H. H. F., Yang S. H., Zhou Q. Q., and Yung L. M. L., Adaptive recoding for BATS codes, in Proc. 2016 IEEE Int. Symp. Information Theory, Barcelona, Spain, 2016, pp. 2349-2353.
|
| [95] |
Xu X. L., Zeng Y., Guan Y. L., and Yuan L., BATS code with unequal error protection, presented at 2016 IEEE Int. Conf. Communication Systems (ICCS), Shenzhen, China, 2016, pp. 1-6.
|
| [96] |
Yin H. H. F., Xu X. L., Ng K. H., Guan Y. L., and Yeung R. W., Packet efficiency of BATS coding on wireless relay network with overhearing, in Proc. 2019 IEEE Int. Symp. Information Theory (ISIT), Paris, France, 2019, pp. 1967-1971.
|
| [97] |
Zhou Z. H., Li C. D., Yang S. H., and Guang X., Practical inner codes for BATS codes in multi-hop wireless networks, IEEE Trans. Veh. Technol., vol. 68, no. 3, pp. 2751-2762, 2019.
|
| [98] |
Le Digabel S., Algorithm 909: NOMAD: Nonlinear optimization with the MADS algorithm, ACM Trans. Math. Softw., vol. 37, no. 4, p. 44, 2011.
|
| [99] |
Hu J. L. and Wellman M. P., Multiagent reinforcement learning: Theoretical framework and an algorithm, in Proc. 15th Int. Conf. Machine Learning, Madison, WI, USA, 1998, pp. 242-250.
|
| [100] |
Zhang H. Z., Sun K. R., Huang Q. Y., Wen Y. G., and Wu D. P., FUN coding: Design and analysis, IEEE/ACM Trans. Netw., vol. 24, no. 6, pp. 3340-3353, 2016.
|
|
Viewed |
|
|
|
Full text
|
|
|
|
|
Abstract
|
|
|
|
|
Cited |
|
|
|
|
| |
Shared |
|
|
|
|
| |
Discussed |
|
|
|
|