Please wait a minute...
  2020, Vol. 1 Issue (2): 142-169    doi: 10.23919/ICN.2020.0009
    
Space-air-ground integrated vehicular network for connected and automated vehicles: Challenges and solutions
Zhisheng Niu*(),Xuemin S. Shen(),Qinyu Zhang(),Yuliang Tang()
Beijing National Research Center for Information Science and Technology, Department of Electronic Engineering, Tsinghua University, Beijing 100084, China
Department of Electrical and Computer Engineering, University of Waterloo, Waterloo, N2L 3G1, Canada
School of Electronic and Information Engineering, Harbin Institute of Technology, Shenzhen 518055, China
Department of Information and Communication Engineering, Xiamen University, Xiamen 361005, China
Download: PDF (7758 KB)      HTML
Export: BibTeX | EndNote (RIS)      

Abstract  

Unlimited and seamless coverage as well as ultra-reliable and low-latency communications are vital for connected vehicles, in particular for new use cases like autonomous driving and vehicle platooning. In this paper, we propose a novel Space-Air-Ground integrated vehicular network (SAGiven) architecture to gracefully integrate the multi-dimensional and multi-scale context-information and network resources from satellites, High-Altitude Platform stations (HAPs), low-altitude Unmanned Aerial Vehicles (UAVs), and terrestrial cellular communication systems. One of the key features of the SAGiven is the reconfigurability of heterogeneous network functions as well as network resources. We first give a comprehensive review of the key challenges of this new architecture and then provide some up-to-date solutions on those challenges. Specifically, the solutions will cover the following topics: (1) space-air-ground integrated network reconfiguration under dynamic space resources constraints; (2) multi-dimensional sensing and efficient integration of multi-dimensional context information; (3) real-time, reliable, and secure communications among vehicles and between vehicles and the SAGiven platform; and (4) a holistic integration and demonstration of the SAGiven. Finally, it is concluded that the SAGiven can play a key role in future autonomous driving and Internet-of-Vehicles applications.



Key wordsspace information network      vehicular network      space-air-ground integrated network      autonomous driving      context information      Internet-of-Vehicles     
Received: 14 May 2020      Online: 19 August 2021
Fund:  National Natural Science Foundation of China(91638204)
Corresponding Authors: Zhisheng Niu     E-mail: niuzhs@tsinghua.edu.cn;sshen@uwaterloo.ca;zqy@hit.edu.cn;tyl@xmu.edu.cn
About author: Zhisheng Niu graduated from Northern Jiaotong University (currently Beijing Jiaotong University), China in 1985, and got the MEng and PhD degrees from Toyohashi University of Technology, Japan, in 1989 and 1992, respectively. During 1992-1994, he worked for Fujitsu Laboratories Ltd., Japan and in 1994 joined with Tsinghua University, Beijing, China, where he is now a professor at the Department of Electronic Engineering. His major research interests include queueing theory, traffic engineering, mobile Internet, radio resource management of wireless networks, and green communication and networks. He is a fellow of IEEE and IEICE. He is the editor-in-chief of IEEE Transactions on Green Communications and Networking (TGCN).|Xuemin S. Shen received the PhD degree in electrical engineering from Rutgers University, New Brunswick, NJ, USA in 1990. He is currently a professor of University of Waterloo. His research focuses on network resource management, wireless network security, Internet of Things, 5G and beyond, and vehicular ad hoc and sensor networks. He is a fellow of IEEE, Engineering Institute of Canada, Canadian Academy of Engineering, and Royal Society of Canada. He is the editor-in-chief of IEEE Internet of Things.|Qinyu Zhang received the bachelor degree in communication engineering from the Harbin Institute of Technology (HIT), Harbin, China in 1994, and the PhD degree in biomedical and electrical engineering from the University of Tokushima, Tokushima, Japan in 2003. Since 2005, he is a full professor and serves as the dean of the School of Electronic and Information Engineering, Harbin Institute of Technology. His research interests include aerospace communications and networks, wireless communications and networks, cognitive radios, signal processing, and biomedical engineering.|Yuliang Tang received the MS degree from Beijing University of Posts and Telecommunications, China in 1996. He received the PhD degree in information and communication engineering from Xiamen University, China in 2009, where he is a professor in the Department of Information and Communication Engineering, Xiamen University. He has published more than 90 papers in journals and international conferences, and has been granted over 20 patents in his research areas. His research interests include wireless communication, 5G and beyond, and vehicular ad-hoc networks.
Cite this article:

Zhisheng Niu,Xuemin S. Shen,Qinyu Zhang,Yuliang Tang. Space-air-ground integrated vehicular network for connected and automated vehicles: Challenges and solutions. , 2020, 1: 142-169.

URL:

http://icn.tsinghuajournals.com/10.23919/ICN.2020.0009     OR     http://icn.tsinghuajournals.com/Y2020/V1/I2/142

SegmentEntityAltitude (km)Round-trip propagation delay (ms)AdvantageLimitation
SpaceGEO35 786240Global coverage, well-developed systemsHigh propagation latency, limited capacity, and high construction cost
MEO2000-20 00013-130
LEO160-20001-13
AirHAP17-30Less than 0.2Large coverage, LoS transmissionsLimited capacity, link instability
LAPUp to 10Less than 0.1
GroundBase Station (BS)N.A.NegligibleSufficient resources, high throughputLimited coverage, vulnerability
RSUN.A.Negligible
Table 1 Comparison of different network segments.
Fig. 1 SFC-based service management and reconfiguration framework for SAGiven.
Fig. 2 Bidirectional mission offloading in SAGvien.
Fig. 3 Integration of radar and communication systems.
Fig. 4 Range and velocity estimations in practical RadCom systems.
Fig. 5 An illustration of proposed relative vehicular positioning architecture in SAGiven.
𝒑^: estimated position of UAV).
">
Fig. 6 An illustration of absolute and relative position errors (p: real position of UAV; 𝒑^: estimated position of UAV).
Fig. 7 (a) Three-dimensional Cramér-Rao Low Bound (CRLB) of vehicle positioning error with respect to the number of base stations. (b) Average root Squared Position Error Bound (SPEB) with respect to the energy of each link.
𝝀 represents the wavelength of signal.
">
Fig. 8 (a) Average Orientation Error Bound (OEB) with respect to the number of vehicles. M represents the number of antema elements. (b) Average Position Error Bound (PEB) with respect to the number of array elements. d represents the distance of antenna arrays and 𝝀 represents the wavelength of signal.
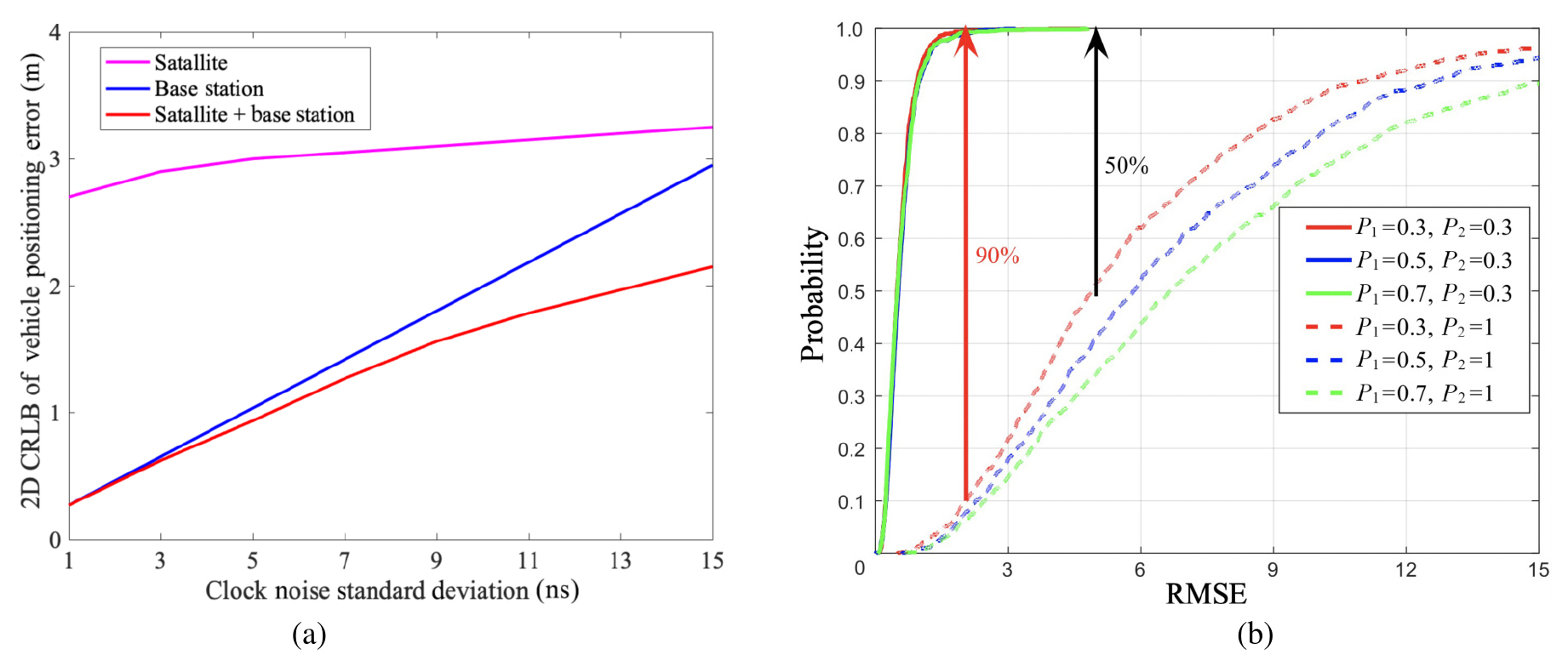
Fig. 9 (a) Two-dimensional CRLB of vehicle positioning error with respect to the clock noise standard deviation of anchors. (b) Failure probability of the network with respect to different NLOS probabilities. Here, RMSE represents root mean square error.
𝟏 and the UAV.
">
Fig. 10 Illustration of a UAV-aided VANET, in which the OBU moving with speed v sends a message to a server via the serving RSU𝟏 and the UAV.
Fig. 11 Illustration of the Reinforcement Learning (RL) based UAV relay anti-jamming scheme.
Fig. 12 Experimental settings in which the mobile device Bob and its serving edge Alice in vehicle resisted a rogue edge Eve outside the vehicle, and both Alice and Eve sent packets with Alice’s identity.
Fig. 13 Authentication performance of the physical-layer authentication scheme against a smart rogue edge attacker.
Fig. 14 Overview of SAGiven simulation platform. Here, API represents application programming interface.
Fig. 15 Implementation of SAGiven simulation platform.
LayerParameterValue
Simulation scenarioNumber of vehicular users100
Number of UAVs3
Number of LTE BSs1
Number of satellites39
Simulation time (min)10
Data packet length (byte)1024
App data rate (Mbps)8.192
UAV to ground communication802.11 protocol802.11 p
Propagation modelLog distance
Frequency (MHz)5.9
Bandwidth (MHz)10
Transmission power (dBm)40
Antenna gains (transmit & receive) (dB)1
Carrier sensing threshold (dBm)-96
Receiver noise figure (dB)7
DCF inter-frame space (DIFS) (μs)58
Short inter-frame space (SIFS) (μs)32
CWmin (time slot)15
CWmax (time slot)1023
LTE to ground user communicationPropagation modelLog distance
Frequency (MHz)850
Bandwidth (resource block)25
Transmission power (dBm)30
Antenna gains (transmit & receive) (dB)0
Receive threshold for PSS on RSRQ (dB)-1000
Receiver noise figure (dB)9
Satellite to ground communicationSatellite typeLEO
Orbit height (km)717-787
Frequency bandL-band
Table 2 SAGiven simulation platform parameters.
Fig. 16 Demonstration of SAGiven simulation platform.
Fig. 17 RAT selection results.
Fig. 18 Computing offloading results. Here, AC represents actor-critic.
[75]   Chen Y. F., Zhao N., Ding Z. G., and Alouini M. S., Multiple UAVs as relays: Multi-hop single link versus multiple dual-hop links, IEEE Trans. Wirel. Commun., vol. 17, no. 9, pp. 6348-6359, 2018.
[76]   Xiao L., Lu X. Z., Xu D. J., Tang Y. L., Wang L., and Zhuang W. H., UAV relay in VANETs against smart jamming with reinforcement learning, IEEE Trans. Veh. Technol., vol. 67, no. 5, pp. 4087-4097, 2018.
[77]   Qu F. Z., Wu Z. H., Wang F. Y., and Cho W., A security and privacy review of VANETs, IEEE Trans. Intell. Transp. Syst., vol. 16, no. 6, pp. 2985-2996, 2015.
[78]   Li J., Lu H., and Guizani M., ACPN: A novel authentication framework with conditional privacy-preservation and non-repudiation for VANETs, IEEE Trans. Parallel Distrib. Syst., vol. 26, no. 4, pp. 938-948, 2015.
[79]   Han H., Xu F. Y., Tan C. C., Zhang Y. F., and Li Q., VR-defender: Self-defense against vehicular rogue APs for drive-thru internet, IEEE Trans. Veh. Technol., vol. 63, no. 8, pp. 3927-3934, 2014.
[80]   Shi Z. Y., Huang M. M., Zhao C. D., Huang L. F., Du X. J., and Zhao Y. F., Detection of LSSUAV using hash fingerprint based SVDD, in Proc. 2017 IEEE Int. Conf. on Communications, Paris, France, 2017.
[81]   Zhao C. D., Huang M. M., Huang L. F., Du X. J., and Guizani M., A robust authentication scheme based on physical-layer phase noise fingerprint for emerging wireless networks, Comput. Netw., vol. 128, pp. 164-171, 2017.
[82]   Lu X. Z., Xiao L., Xu T. W., Zhao Y. F., Tang Y. L., and Zhuang W. H., Reinforcement learning based PHY authentication for VANETs, IEEE Trans. Veh. Technol., vol. 69, no. 3, pp. 3068-3079, 2020
[83]   Zhao C. D., Shi M. X., Huang M. M., and Du X. J., Authentication scheme based on hashchain for space-air-ground integrated network, in Proc. 2019 IEEE Int. Conf. on Communication, Shanghai, China, 2019.
[84]   Wang L., Wu H. Q., Ding Y. N., Chen W., and Poor H. V., Hypergraph-based wireless distributed storage optimization for cellular D2D underlays, IEEE J. Sel. Areas Commun., vol. 34, no. 10, pp. 2650-2666, 2016.
[85]   Celes C., Silva F. A., Boukerche A., de Castro Andrade R. M., and Loureiro A. A. F., Improving VANET simulation with calibrated vehicular mobility traces, IEEE Trans. Mobile Comput., vol. 16, no. 12, pp. 3376-3389, 2017.
[86]   Miao Y. M., Li W., Tian D. X., Hossain M. S., and Alhamid M. F., Narrowband internet of things: simulation and modeling, IEEE Internet Things J., vol. 5, no. 4, pp. 2304-2314, 2018.
[1]   Sheng M., Wang Y., Li J. D., Liu R. Z., Zhou D., and He L. J., Toward a flexible and reconfigurable broadband satellite network: Resource management architecture and strategies, IEEE Wirel. Commun., vol. 24, no. 4, pp. 127-133, 2017.
[2]   Tan Z. H., Qin H. L., Cong L., and Zhao C., New method for positioning using iridium satellite signals of opportunity, IEEE Access, vol. 7, pp. 83 412-83 423, 2019.
[87]   Ranjan A., Panigrahi B., Rath H. K., Misra P., and Simha A., LTE-CAS: LTE-based criticality aware scheduling for UAV assisted emergency response, in Proc. IEEE Conf. on Computer Communications Workshops, Honolulu, HI, USA, 2018, pp. 894-899.
[88]   Kawamoto Y., Nishiyama H., Kato N., and Kadowaki N., A traffic distribution technique to minimize packet delivery delay in multilayered satellite networks, IEEE Trans. Veh. Technol., vol. 62, no. 7, pp. 3315-3324, 2013.
[3]   Starlink, , 2020.
[4]   Niephaus C., Kretschmer M., and Ghinea G., QoS provisioning in converged satellite and terrestrial networks: A survey of the state-of-the-art, IEEE Commun. Surv. Tutor., vol. 18, no. 4, pp. 2415-2441, 2016.
[5]   Ruan Y. H., Li Y. Z., Wang C. X., Zhang R., and Zhang H. L., Power allocation in cognitive satellite-vehicular networks from energy-spectral efficiency tradeoff perspective, IEEE Trans. Cognit. Commun. Netw., vol. 5, no. 2, pp. 318-329, 2019.
[6]   Hou Z. W., Yi X. Q., Zhang Y. H., Kuang Y. H. Y., and Zhao Y., Satellite-ground link planning for LEO satellite navigation augmentation networks, IEEE Access, vol. 7, pp. 98 715-98 724, 2019.
[7]   Alam N., Balaei T., and Dempster A. G., Relative positioning enhancement in VANETs: A tight integration approach, IEEE Trans. Intell. Transp. Syst., vol. 14, no. 1, pp. 47-55, 2013.
[8]   Cao X. B., Yang P., Alzenad M., Xi X., Wu D. P., and Yanikomeroglu H., Airborne communication networks: A survey, IEEE J. Sel. Areas Commun., vol. 36, no. 9, pp. 1907-1926, 2018.
[9]   Chandrasekharan S., Gomez K., Al-Hourani A., Kandeepan S., Rasheed T., Goratti L., Reynaud L., Grace D., Bucaille I., Wirth T., et al., Designing and implementing future aerial communication networks, IEEE Commun. Mag., vol. 54, no. 5, pp. 26-34, 2016.
[10]   Karapantazis S. and Pavlidou F., Broadband communications via high-altitude platforms: A survey, IEEE Commun. Surv. Tutor., vol. 7, no. 1, pp. 2-31, 2005.
[89]   Jia X. H., Lv T., He F., and Huang H. J., Collaborative data downloading by using inter-satellite links in LEO satellite networks, IEEE Trans. Wirel. Commun., vol. 16, no. 3, pp. 1523-1532, 2017.
[90]   Zangar N. and Hendaoui S., Leveraging multiuser diversity for adaptive hybrid satellite-LTE downlink scheduler (H-MUDoS) in emerging 5G-satellite network, Int. J. Satell. Commun. Netw., vol. 35, no. 1, pp. 67-88, 2017.
[91]   Cheng N., Quan W., Shi W. S., Wu H. Q., Ye Q., Zhou H. B., Zhuang W. H., Shen X. M., and Bai B., A comprehensive simulation platform for space-air-ground integrated network, IEEE Wirel. Commun., vol. 27, no. 1, pp. 178-185, 2020.
[92]   Cheng N., Lyu F., Quan W., Zhou C. H., He H. L., Shi W., and Shen X. M., Space/aerial-assisted computing offloading for iot applications: A learning-based approach, IEEE J. Sel. Areas Commun., vol. 37, no. 5, pp. 1117-1129, 2019.
[93]   Zhang S., Quan W., Li J. L., Shi W., Yang P., and Shen X. M., Air-ground integrated vehicular network slicing with content pushing and caching, IEEE J. Sel. Areas Commun., vol. 36, no. 9, pp. 2114-2127, 2018.
[94]   Shi W., Li J. L., Cheng N., Lyu F., Zhang S., Zhou H. B., and Shen X. M., Multi-drone 3-d trajectory planning and scheduling in drone-assisted radio access networks, IEEE Trans. Veh. Technol., vol. 68, no. 8, pp. 8145-8158, 2019.
[11]   Araniti G., Iera A., and Molinaro A., The role of HAPs in supporting multimedia broadcast and multicast services in terrestrial-satellite integrated systems, Wirel. Pers. Commun., vol. 32, nos. 3&4, pp. 195-213, 2005.
[12]   Mohammed A., Mehmood A., Pavlidou F. N., and Mohorcic M., The role of high-altitude platforms (HAPs) in the global wireless connectivity, Proc. IEEE, vol. 99, no. 11, pp. 1939-1953, 2011.
[13]   Mack E., Meet Google’s ‘project loon’: Balloon-powered net access, , 2013.
[14]   Widiawan A. K. and Tafazolli R., High altitude platform station (HAPS): A review of new infrastructure development for future wireless communications, Wirel. Pers. Commun., vol. 42, no. 3, pp. 387-404, 2007.
[15]   Avdikos G., Papadakis G., and Dimitriou N., Overview of the application of High Altitude Platform (HAP) systems in future telecommunication networks, in Proc. 2008 10thInt. Workshop on Signal Processing for Space Communications, Rhodes Island, Greece, 2008.
[16]   Lin Y. G., Wang L., and Shen L. F., Satellite and high altitude platform-based inter-vehicle communications in vast and desolate areas, J. Southeast Univ. Eng. Ed., vol. 28, no. 2, pp. 135-139, 2012.
[17]   Gupta L., Jain R., and Vaszkun G., Survey of important issues in UAV communication networks, IEEE Commun. Surv. Tutor., vol. 18, no. 2, pp. 1123-1152, 2016.
[18]   Zeng Y., Zhang R., and Lim T. J., Wireless communications with unmanned aerial vehicles: Opportunities and challenges, IEEE Commun. Mag., vol. 54, no. 5, pp. 36-42, 2016.
[19]   Zhou Y., Cheng N., Lu N., and Shen X. S., Multi-UAV-aided networks: Aerial-ground cooperative vehicular networking architecture, IEEE Veh. Technol. Mag., vol. 10, no. 4, pp. 36-44, 2015.
[20]   Khabbaz M., Antoun J., and Assi C., Modeling and performance analysis of UAV-assisted vehicular networks, IEEE Trans. Veh. Technol., vol. 68, no. 9, pp. 8384-8396, 2019.
[21]   Deng L. J., Wu G., Fu J. W., Zhang Y. Z., and Yang Y. F., Joint resource allocation and trajectory control for UAV-enabled vehicular communications, IEEE Access, vol. 7, pp. 132 806-132 815, 2019.
[22]   Garzón M., Valente J., Zapata D., and Barrientos A., An aerial-ground robotic system for navigation and obstacle mapping in large outdoor areas, Sensors, vol. 13, no. 1, pp. 1247-1267, 2013.
[23]   Goddemeier N., Daniel K., and Wietfeld C., Role-based connectivity management with realistic air-to-ground channels for cooperative UAVs, IEEE J. Sel. Areas Commun., vol. 30, no. 5, pp. 951-963, 2012.
[24]   Lu N., Cheng N., Zhang N., Shen X. M., and Mark J. W., Connected vehicles: Solutions and challenges, IEEE Internet Things J., vol. 1, no. 4, pp. 289-299, 2014.
[25]   Zheng K., Zheng Q., Chatzimisios P., Xiang W., and Zhou Y. Q., Heterogeneous vehicular networking: A survey on architecture, challenges, and solutions, IEEE Commun. Surv. Tutor., vol. 17, no. 4, pp. 2377-2396, 2015.
[26]   Wu X. Z., Subramanian S., Guha R., White R. G., Li J. Y., Lu K. W., Bucceri A., and Zhang T., Vehicular communications using DSRC: Challenges, enhancements, and evolution, IEEE J. Sel. Areas Commun., vol. 31, no. 9, pp. 399-408, 2013.
[27]   Gozalvez J., Sepulcre M., and Bauza R., IEEE 802.11p vehicle to infrastructure communications in urban environments, IEEE Commun. Mag., vol. 50, no. 5, pp. 176-183, 2012.
[28]   Sun S. H., Hu J. L., Peng Y., Pan X. M., Zhao L., and Fang J. Y., Support for vehicle-to-everything services based on LTE, IEEE Wirel. Commun., vol. 23, no. 3, pp. 4-8, 2016.
[29]   Release 14 Description; Summary of Rel-14 Work Items (Release 14), 3GPP, 2018.
[30]   Release 15 Description; Summary of Rel-15 Work Items (Release 15), 3GPP, 2019.
[31]   Chen S. Z., Hu J. L., Shi Y., and Zhao L., LTE-V: A TD-LTE-based V2X solution for future vehicular network, IEEE Internet Things J., vol. 3, no. 6, pp. 997-1005, 2016.
[32]   Release 16 Description; Summary of Rel-16 Work Items (Release 16), 3GPP, 2020.
[33]   Wang M., Shen Q. H., Zhang R., Liang H., and Shen X. M., Vehicle-density-based adaptive MAC for high throughput in drive-thru networks, IEEE Internet Things J., vol. 1, no. 6, pp. 533-543, 2014.
[34]   Zhou H. B., Liu B., Hou F., Luan T. H., Zhang N., Gui L., Yu Q., and Shen X. S., Spatial coordinated medium sharing: Optimal access control management in drive-thru internet, IEEE Trans. Intell. Transp. Syst., vol. 16, no. 5, pp. 2673-2686, 2015.
[35]   Zhou H. B., Cheng N., Lu N., Gui L., Zhang D. Y., Yu Q., Bai F., and Shen X. S., WhiteFi infostation: Engineering vehicular media streaming with geolocation database, IEEE J. Sel. Areas Commun., vol. 34, no. 8, pp. 2260-2274, 2016.
[36]   Tang F. X., Kawamoto Y., Kato N., and Liu J. J., Future intelligent and secure vehicular network toward 6G: Machine-learning approaches, Proc. IEEE, vol. 108, no. 2, pp. 292-307, 2020.
[37]   Silva F. A., Boukerche A., Silva T. R. M. B., Cerqueira E., Ruiz L. B., and Loureiro A. A. F., Information-driven software-defined vehicular networks: Adapting flexible architecture to various scenarios, IEEE Veh. Technol. Mag., vol. 14, no. 1, pp. 98-107, 2019.
[38]   Salahuddin M. A., Al-Fuqaha A., and Guizani M., Software-defined networking for RSU clouds in support of the internet of vehicles, IEEE Internet Things J., vol. 2, no. 2, pp. 133-144, 2015.
[39]   Network Functions Virtualisation (NFV); Architectural Framework, ETSI GS NFV 002, V1.2.1, 2014.
[40]   Mijumbi R., Serrat J., Gorricho J. L., Bouten N., De Turck F., and Boutaba R., Network function virtualization: State-of-the-art and research challenges, IEEE Commun. Surv. Tutor., vol. 18, no. 1, pp. 236-262, 2016.
[41]   Qiu C., Yao H. P., Yu F. R., Xu F. M., and Zhao C. L., Deep q-learning aided networking, caching, and computing resources allocation in software-defined satellite-terrestrial networks, IEEE Trans. Veh. Technol., vol. 68, no. 6, pp. 5871-5883, 2019.
[42]   Du J., Jiang C. X., Zhang H. J., Ren Y., and Guizani M., Auction design and analysis for SDN-based traffic offloading in hybrid satellite-terrestrial networks, IEEE J. Sel. Areas Commun., vol. 36, no. 10, pp. 2202-2217, 2018.
[43]   Qiu J. F., Grace D., Ding G. R., Zakaria M. D., and Wu Q. H., Air-ground heterogeneous networks for 5G and beyond via integrating high and low altitude platforms, IEEE Wirel. Commun., vol. 26, no. 6, pp. 140-148, 2019.
[44]   Zhang N., Zhang S., Yang P., Alhussein O., Zhuang W. H., and Shen X. S., Software defined space-air-ground integrated vehicular networks: Challenges and solutions, IEEE Commun. Mag., vol. 55, no. 7, pp. 101-109, 2017.
[45]   Wang G. C., Zhou S., Zhang S., Niu Z. S., and Shen X. M., SFC-based service provisioning for reconfigurable space-air-ground integrated networks, IEEE J. Sel. Areas Commun., vol. 38, no. 7, pp. 1478-1489, 2020.
[46]   Mirjalily G. and Luo Z. Q., Optimal network function virtualization and service function chaining: A survey, Chin. J. Electron., vol. 27, no. 4, pp. 704-717, 2018.
[47]   Herrera J. G. and Botero J. F., Resource allocation in NFV: A comprehensive survey, IEEE Trans. Netw. Serv. Manag., vol. 13, no. 3, pp. 518-532, 2016.
[48]   Bari F., Chowdhury S. R., Ahmed R., Boutaba R., and Duarte O. C. M. B., Orchestrating virtualized network functions, IEEE Trans. Netw. Serv. Manag., vol. 13, no. 4, pp. 725-739, 2016.
[49]   Wang L. H., Lu Z. M., Wen X. M., Knopp R., and Gupta R., Joint optimization of service function chaining and resource allocation in network function virtualization, IEEE Access, vol. 4, pp. 8084-8094, 2016.
[50]   Beck M. T. and Botero J. F., Coordinated allocation of service function chains, in Proc. 2015 IEEE Global Communications Conf., San Diego, CA, USA, 2015.
[51]   Qu L., Assi C., Shaban K., and Khabbaz M. J., A reliability-aware network service chain provisioning with delay guarantees in NFV-enabled enterprise datacenter networks, IEEE Trans. Netw. Serv. Manag., vol. 14, no. 3, pp. 554-568, 2017.
[52]   Li D. F., Hong P. L., Xue K. P., and Pei J. N., Virtual network function placement considering resource optimization and SFC requests in cloud datacenter, IEEE Trans. Parallel Distrib. Syst., vol. 29, no. 7, pp. 1664-1677, 2018.
[53]   Service Function Chaining (SFC) Architecture, IETF RFC 7665, 2015.
[54]   Wang G. C., Zhou S., Niu Z. S., Zhang S., and Shen X. M., Service function chain planning with resource balancing in space-air-ground integrated networks, in Proc. 2019 IEEE Global Communications Conf., Waikoloa, HI, USA, 2019.
[55]   Zhou S., Wang G. C., Zhang S., Niu Z. S., and Shen X. S., Bidirectional mission offloading for agile space-air-ground integrated networks, IEEE Wirel. Commun., vol. 26, no. 2, pp. 38-45, 2019.
[56]   Wang G. C., Zhou S., and Niu Z. S., Radio resource allocation for bidirectional offloading in space-air-ground integrated vehicular network, J. Commun. Inf. Netw., vol. 4, no. 4, pp. 24-31, 2019.
[57]   Li W., Formation-preserving properties of cooperative kinematic agents with or without external influence of target attraction, IEEE Trans. Autom. Control, vol. 63, no. 6, pp. 1737-1744, 2018.
[58]   Liu Y. P. and Shen Y., UAV-aided high-accuracy relative localization of ground vehicles, in Proc. 2018 IEEE Int. Conf. Communications, Kansas City, MO, USA, 2018.
[59]   Ash J. N. and Moses R. L., On the relative and absolute positioning errors in self-localization systems, IEEE Trans. Signal Process, vol. 56, no. 11, pp. 5668-5679, 2008.
[60]   Zheng X., Zhou S., and Niu Z. S., Context-aware information lapse for timely status updates in remote control systems, in Proc. 2019 IEEE Global Communications Conf., Waikoloa, HI, USA, 2019.
[61]   Zheng X., Zhou S., and Niu Z. S., Beyond age: Urgency of information for timeliness guarantee in status update systems, in Proc. 2020 2nd 6G Wireless Summit, Levi, Finland, 2020.
[62]   Kaul S., Gruteser M., Rai V., and Kenney J., Minimizing age of information in vehicular networks, in Proc. 2011 8th Ann. IEEE Communications Society Conf. on Sensor, Mesh and Ad Hoc Communications and Networks, Salt Lake City, UT, USA, 2011.
[63]   Yu X., Xiao H. Y., Wang S. Y., and Li Y. J., An adaptive back-off scheme based on improved markov model for vehicular ad hoc networks, IEEE Access, vol. 6, pp. 67 373-67 384, 2018.
[64]   Lin Z. P. and Tang Y. L., Distributed multi-channel MAC Protocol for VANET: An adaptive frame structure scheme, IEEE Access, vol. 7, pp. 12 868-12 878, 2019.
[65]   Kim Y., Lee M., and Lee T. J., Coordinated multichannel MAC protocol for vehicular ad hoc networks, IEEE Trans. Veh. Technol., vol. 65, no. 8, pp. 6508-6517, 2016.
[66]   Hafeez K. A., Zhao L., Mark J. W., Shen X. M., and Niu Z. S., Distributed multichannel and mobility-aware cluster-based MAC protocol for vehicular ad hoc networks, IEEE Trans. Veh. Technol., vol. 62, no. 8, pp. 3886-3902, 2013.
[67]   Luo G. Y., Li J. L., Zhang L., Yuan Q., Liu Z. H., and Yang F. C., sdnMAC: A software-defined network inspired MAC protocol for cooperative safety in VANETs, IEEE Trans. Intell. Transp. Syst., vol. 19, no. 6, pp. 2011-2024, 2018.
[68]   Molina-Masegosa R. and Gozalvez J., LTE-V for sidelink 5G V2X vehicular communications: A new 5G technology for short-range vehicle-to-everything communications, IEEE Veh. Technol. Mag., vol. 12, no. 4, pp. 30-39, 2017.
[69]   Karp B. and Kung H. T., GPSR: Greedy perimeter stateless routing for wireless networks, in Proc. 6th Ann. Int. Conf. on Mobile Computing and Networking, Boston, MA, USA, 2000.
[70]   Perkins C. E. and Bhagwat P., Highly dynamic destination-sequenced distance-vector routing (DSDV) for mobile computers, ACM SIGCOMM Comput. Commun. Rev., vol. 24, no. 4, pp. 234-244, 1994
[71]   Bernsen J. and Manivannan D., Greedy routing protocols for vehicular ad hoc networks, in Proc. 2008 Int. Wireless Communications and Mobile Computing Conf., Crete Island, Greece, 2008.
[72]   Shi W. S., Zhou H. B., Li J. L., Xu W. C., Zhang N., and Shen X. M., Drone assisted vehicular networks: Architecture, challenges and opportunities, IEEE Netw., vol. 32, no. 3, pp. 130-137, 2018.
[73]   Sun Y. L., Xu L., and Tang Y. L., Cooperative downloading in vehicular networks: A graph-based approach, in Proc. 2018 IEEE 87th Vehicular Technology Conf., Porto, Portugal, 2018.
[74]   Chen Y. F., Feng W., and Zheng G., Optimum placement of UAV as relays, IEEE Commun. Lett., vol. 22, no, 2, pp. 248-251, 2018.
No related articles found!